こんにちは!塾長です。
今日は中学生の皆さんが数学でつまずきがちな「規則性の問題」について、一緒に解いていきましょう!
実はこの規則性の問題、いくつかの「裏ワザ」を知っているだけで、グッと解きやすくなるんです。
この記事では、規則性を見つけるコツや、実際に役立つ計算例を交えて解説していきます。「公式が分かりにくい」「どこから手をつければいいか分からない」と悩んでいる人も安心してください。
これを読めば、規則性の問題が楽しく感じられるようになりますよ!さっそく始めましょう!
数学の規則性裏ワザ:中学で使える簡単な解法
規則性の問題は一見すると難しそうに見えますが、実は「差」「比」「パターン」に注目するだけで、解き方が見えてくるんです。
ここでは、具体的な裏ワザを使って規則性の問題を攻略する方法を教えます。
規則性の裏ワザとは?知っておきたい基本ルール
まず、規則性の問題には共通するポイントがあります。
それは、「数字がどんなルールで並んでいるか」を見つけること。例えば、こんな数列を考えてみましょう。
例題1:数列 2,5,8,11,…2 の n 番目の数字を求めてみましょう。
この場合、数字がどのように変化しているかを調べます。「隣り合う数字の差」に注目すると、次のようになります。
5−2=3 8−5=3 11−8=3
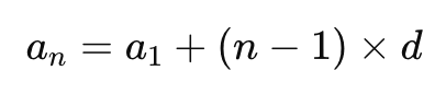
差が常に 3 で一定ですね。このような数列を「等差数列」といいます。
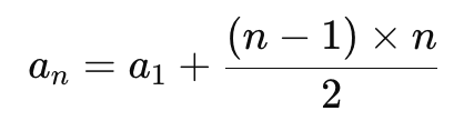
等差数列の一般式は、次のように表せます。

ここで、
a1 : 最初の項(今回の場合 2)
d : 公差(隣り合う数字の差、今回の場合 333)
では、この公式を使って n=10 の場合を計算してみましょう。

途中式を計算します。
答えは 29 です。このように、公式を知っていると簡単に解けるようになります。
裏ワザ①「数列の差をチェックする」基本テクニック
さっきの例題でも使いましたが、まずは「差をチェックする」ことが規則性の基本です。もう少し複雑な例を見てみましょう。
例題2
数列 1,3,6,10,15,… の n 番目を求めてみましょう。
この数列、隣り合う数字の差を調べてみると次のようになります。
3−1=2 6−3=3 10−6=4 15−10=5
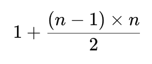
差が変化していますね。このように「差の差」が一定になる数列を「階差数列」と呼びます。
次に、階差数列を使って一般式を求めます。ポイントは、次の数字を求めるために、これまでの数字の累積和を使うことです。

累積和の公式を使って計算すると、

これを簡単にすると、

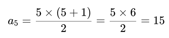
さっそく n=5 の場合を計算してみましょう。

この裏ワザを使えば、どんなに大きな n でも簡単に計算できます。
裏ワザ②「奇数と偶数に分ける」隠れたパターンを発見
次に、「奇数と偶数」に注目する方法です。こんな数列を見てみましょう。
例題3
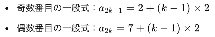
数列 2,7,4,9,6,11,…の規則性を探してみましょう。
この数列、一見するとバラバラですが、奇数番目と偶数番目に分けると分かりやすくなります。
- 奇数番目:2,4,6,… → 等差数列(差 2)
- 偶数番目:7,9,11,… → 等差数列(差 2)
それぞれ別々に考えると、

この方法を使えば、複雑に見える数列もシンプルに解けるようになります。
裏ワザ③「繰り返しパターンに注目」周期性を活用
一見するとランダムに見える数列でも、よく観察すると「繰り返しパターン」が隠れていることがあります。次の例題で確認してみましょう。
例題4
数列 2,0,1,7,2,0,1,7,… の n 番目の値を求めなさい。
この数列は「2, 0, 1, 7」の4つの数字が繰り返されています。つまり、この数列には周期性があります。
周期性がある場合、次の公式を使うと簡単に解けます。

数列の周期は4なので、n を4で割った余りを考えます。たとえば、n=10 の場合、「10÷4=2余り2」です。
余りが2の場合、周期「2, 0, 1, 7」の2番目の数字を選びます。
したがって、

周期性に気づくだけで、大きな n の場合も簡単に計算できます。
裏ワザ④「グループ化して考える」数列を整理する方法
もう1つの裏ワザは「グループ化」です。特に、図形を使った問題や数列が複雑な場合に有効です。以下の例で試してみましょう。
例題5
黒いタイルを白いタイルで囲む問題を考えます。黒いタイルの枚数が nnn 枚の場合、必要な白いタイルの枚数を求めてみましょう。
1枚目から始めて数えていくと、
- 黒いタイル1枚 → 白いタイル24枚
- 黒いタイル2枚 → 白いタイル41枚
- 黒いタイル3枚 → 白いタイル58枚
差を確認してみましょう。
41−24=17 58−41=17 41 – 24 = 17
差が一定なので、白いタイルの枚数は「等差数列」になります。
式を作ると、

では、黒いタイルが10枚の場合を計算してみましょう。

答えは177枚です。この方法を使うと、図を書かなくても素早く答えが分かります。
規則性を見つけるコツやnのパターンを徹底的に解説
規則性を見つけるためには、問題を解く手順をしっかり理解することが大切です。ここでは、nを使った式の作り方や、実践的な練習問題を通じて規則性をマスターする方法を解説します。
規則性を見つけるための3つのステップ
規則性の問題を解く基本ステップをおさらいしましょう。
- 問題文を丁寧に読む
- 問題の条件をしっかり把握します。見落としがないように!
- 数列を簡単に書き出す
- 初めの数列の数値を少しだけ書き出して、変化を確認します。
- nを使って式を作る
- パターンが見つかったら、nを使って一般式を導きます。
この3ステップを意識するだけで、複雑に見える規則性の問題も簡単に解けるようになります。
規則性の裏ワザで使えるnの式のパターン一覧
ここでは、規則性の問題でよく使われるnの式のパターンをいくつか紹介します。
①等差数列

②階差数列

③繰り返し数列

これらの公式を覚えておくだけで、多くの問題をスムーズに解けます。
練習問題で実践!規則性の裏ワザを使ってみよう
次は練習問題です。自分の力で解いてみてください。
練習問題1:数列 4,9,14,19,… の n 番目を求めてみましょう。

一般式は、

応用練習!複雑な規則性を解くテクニック
次に、少し複雑な規則性の問題に挑戦してみましょう。
練習問題2:数列 1,4,9,16,25,… の n 番目を求める式を導きましょう。
この数列を見て、何か気づくことはありますか?実は、これは「平方数」の数列です。平方数とは、各項が次のように n² の形で表される数列です。

例えば、n=1,2,3,… に対して、以下のように計算されます。

この公式を覚えておくと、平方数の問題は一瞬で解けるようになります!
応用問題:数列 1,4,9,16,25,… の100番目の数を求めてみましょう。
解答:

答えは 10000です。簡単ですね!
よく出る規則性の問題を一挙解説
最後に、入試で頻出する規則性の問題をいくつか紹介します。
1. マッチ棒問題
正方形を作るマッチ棒の本数を考える問題です。例えば、1つの正方形には4本、2つの連続した正方形を作るには7本必要です。
規則性を見つけると、一般式は次のようになります。

2. 正方形の周囲を囲む問題
黒い正方形を白いタイルで囲む問題は、前述したように「等差数列」で解けます。
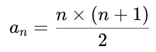
3. 三角数の問題
三角数は、次の公式で表されます。

例えば、三角数の数列 1,3,6,10,15,… の一般式を導きましたね。入試でも頻出なので、しっかり覚えましょう。
総括:数学の規則性の裏ワザまとめ
最後に、本記事のまとめを残しておきます。
要約
- 規則性の基本: 数列のパターンを見つける際、「差」「比」「繰り返し」などのポイントに注目する。
- 裏ワザ①「差をチェック」: 等差数列の一般式を利用し、隣り合う数字の差を確認してパターンを導き出す。
- 裏ワザ②「奇数と偶数に分ける」: 数列を奇数番目と偶数番目に分け、それぞれの規則性を見つける。
- 裏ワザ③「繰り返しパターン」: 数列の周期性を利用し、周期の公式を使って大きな nnn の場合でも効率的に計算する。
- 裏ワザ④「グループ化」: 図形を利用した問題や複雑な数列をグループに分けて整理する。
- 一般式の作成: 数列のパターンを nnn を使った式に変換することで、どの項でも計算できるようにする。
- 練習問題の活用: 基本から応用まで幅広い練習問題を解き、実践的なスキルを身につける。
- 頻出問題例: 入試でよく出るマッチ棒や三角数、タイルを使った問題を解説。
- 目的: 裏ワザや公式を活用して、数学の規則性問題を効率的かつ簡単に解けるようにする。
